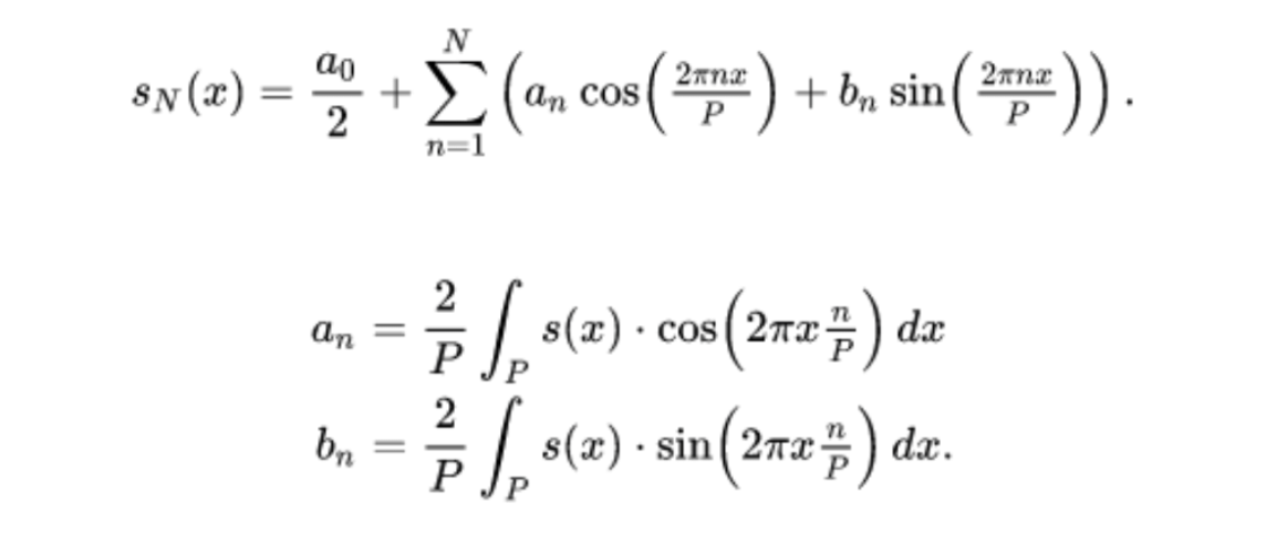
Why Are Fourier Series Important . Web learn about the importance of the fourier series in circuit analysis and the fourier series equations, while gaining insight into how this analysis tool works. We begin with the fourier series. Web fourier series expression. Web fourier series, in mathematics, an infinite series used to solve special types of differential equations. Web to understand the importance of the fourier transform, it is important to step back a little and appreciate the power. Web a fourier series is a way of representing a periodic function as a (possibly infinite) sum of sine and cosine functions. This means that an arbitrary function on a given interval can be approximated as a sum of. It is analogous to a taylor. Web a fourier series is an expansion of a periodic function f(x) in terms of an infinite sum of sines and cosines.
from byjus.com
Web to understand the importance of the fourier transform, it is important to step back a little and appreciate the power. Web a fourier series is an expansion of a periodic function f(x) in terms of an infinite sum of sines and cosines. Web learn about the importance of the fourier series in circuit analysis and the fourier series equations, while gaining insight into how this analysis tool works. We begin with the fourier series. Web a fourier series is a way of representing a periodic function as a (possibly infinite) sum of sine and cosine functions. Web fourier series expression. It is analogous to a taylor. Web fourier series, in mathematics, an infinite series used to solve special types of differential equations. This means that an arbitrary function on a given interval can be approximated as a sum of.
Fourier Series Definition, Formula, Applications and Examples
Why Are Fourier Series Important Web fourier series, in mathematics, an infinite series used to solve special types of differential equations. Web a fourier series is a way of representing a periodic function as a (possibly infinite) sum of sine and cosine functions. Web fourier series expression. Web learn about the importance of the fourier series in circuit analysis and the fourier series equations, while gaining insight into how this analysis tool works. Web a fourier series is an expansion of a periodic function f(x) in terms of an infinite sum of sines and cosines. This means that an arbitrary function on a given interval can be approximated as a sum of. Web to understand the importance of the fourier transform, it is important to step back a little and appreciate the power. It is analogous to a taylor. Web fourier series, in mathematics, an infinite series used to solve special types of differential equations. We begin with the fourier series.
From www.slideserve.com
PPT Fourier PowerPoint Presentation, free download ID496883 Why Are Fourier Series Important It is analogous to a taylor. Web fourier series, in mathematics, an infinite series used to solve special types of differential equations. Web learn about the importance of the fourier series in circuit analysis and the fourier series equations, while gaining insight into how this analysis tool works. We begin with the fourier series. Web a fourier series is a. Why Are Fourier Series Important.
From medium.com
Fourier Transform 101 — Part 4 Discrete Fourier Transform Why Are Fourier Series Important Web fourier series, in mathematics, an infinite series used to solve special types of differential equations. Web to understand the importance of the fourier transform, it is important to step back a little and appreciate the power. Web fourier series expression. Web a fourier series is an expansion of a periodic function f(x) in terms of an infinite sum of. Why Are Fourier Series Important.
From telegra.ph
Fourier Series Telegraph Why Are Fourier Series Important Web fourier series, in mathematics, an infinite series used to solve special types of differential equations. Web learn about the importance of the fourier series in circuit analysis and the fourier series equations, while gaining insight into how this analysis tool works. It is analogous to a taylor. This means that an arbitrary function on a given interval can be. Why Are Fourier Series Important.
From testbook.com
Fourier Series Learn definition, analysis, formula, applications Why Are Fourier Series Important Web a fourier series is an expansion of a periodic function f(x) in terms of an infinite sum of sines and cosines. Web learn about the importance of the fourier series in circuit analysis and the fourier series equations, while gaining insight into how this analysis tool works. Web to understand the importance of the fourier transform, it is important. Why Are Fourier Series Important.
From www.youtube.com
Fourier INTEGRAL Part1 Example 1 INTRODUCTION PREVIOUS YEAR Why Are Fourier Series Important Web fourier series expression. Web a fourier series is an expansion of a periodic function f(x) in terms of an infinite sum of sines and cosines. This means that an arbitrary function on a given interval can be approximated as a sum of. Web to understand the importance of the fourier transform, it is important to step back a little. Why Are Fourier Series Important.
From www.slideshare.net
Fourier series Why Are Fourier Series Important We begin with the fourier series. Web a fourier series is an expansion of a periodic function f(x) in terms of an infinite sum of sines and cosines. Web learn about the importance of the fourier series in circuit analysis and the fourier series equations, while gaining insight into how this analysis tool works. Web fourier series, in mathematics, an. Why Are Fourier Series Important.
From www.scribd.com
MIii Fourier Series Important PDF Fourier Series Trigonometric Why Are Fourier Series Important It is analogous to a taylor. Web learn about the importance of the fourier series in circuit analysis and the fourier series equations, while gaining insight into how this analysis tool works. Web to understand the importance of the fourier transform, it is important to step back a little and appreciate the power. Web fourier series expression. We begin with. Why Are Fourier Series Important.
From www.electronics-lab.com
The Fourier Analysis Fourier Transform Why Are Fourier Series Important Web a fourier series is a way of representing a periodic function as a (possibly infinite) sum of sine and cosine functions. Web to understand the importance of the fourier transform, it is important to step back a little and appreciate the power. It is analogous to a taylor. Web learn about the importance of the fourier series in circuit. Why Are Fourier Series Important.
From telegra.ph
Fourier Series Telegraph Why Are Fourier Series Important Web fourier series, in mathematics, an infinite series used to solve special types of differential equations. Web to understand the importance of the fourier transform, it is important to step back a little and appreciate the power. Web fourier series expression. We begin with the fourier series. It is analogous to a taylor. Web learn about the importance of the. Why Are Fourier Series Important.
From byjus.com
Fourier Series Definition, Formula, Applications and Examples Why Are Fourier Series Important Web fourier series expression. Web a fourier series is a way of representing a periodic function as a (possibly infinite) sum of sine and cosine functions. Web to understand the importance of the fourier transform, it is important to step back a little and appreciate the power. This means that an arbitrary function on a given interval can be approximated. Why Are Fourier Series Important.
From www.slideshare.net
Fourier series Why Are Fourier Series Important This means that an arbitrary function on a given interval can be approximated as a sum of. Web learn about the importance of the fourier series in circuit analysis and the fourier series equations, while gaining insight into how this analysis tool works. Web fourier series, in mathematics, an infinite series used to solve special types of differential equations. We. Why Are Fourier Series Important.
From www.youtube.com
Fourier Series INTRODUCTION YouTube Why Are Fourier Series Important Web fourier series, in mathematics, an infinite series used to solve special types of differential equations. It is analogous to a taylor. We begin with the fourier series. Web to understand the importance of the fourier transform, it is important to step back a little and appreciate the power. Web fourier series expression. Web a fourier series is a way. Why Are Fourier Series Important.
From www.slideserve.com
PPT Chapter 4 The Fourier Series and Fourier Transform PowerPoint Why Are Fourier Series Important Web a fourier series is a way of representing a periodic function as a (possibly infinite) sum of sine and cosine functions. This means that an arbitrary function on a given interval can be approximated as a sum of. We begin with the fourier series. It is analogous to a taylor. Web fourier series expression. Web fourier series, in mathematics,. Why Are Fourier Series Important.
From www.slideserve.com
PPT Fourier series, Discrete Time Fourier Transform and Why Are Fourier Series Important This means that an arbitrary function on a given interval can be approximated as a sum of. Web fourier series expression. Web fourier series, in mathematics, an infinite series used to solve special types of differential equations. Web a fourier series is a way of representing a periodic function as a (possibly infinite) sum of sine and cosine functions. Web. Why Are Fourier Series Important.
From www.youtube.com
Fourier Series Example 2 YouTube Why Are Fourier Series Important Web learn about the importance of the fourier series in circuit analysis and the fourier series equations, while gaining insight into how this analysis tool works. Web a fourier series is a way of representing a periodic function as a (possibly infinite) sum of sine and cosine functions. Web a fourier series is an expansion of a periodic function f(x). Why Are Fourier Series Important.
From nutritionalsolution.blogspot.com
Fourier Series Transform Table The convergence criteria of the Why Are Fourier Series Important Web to understand the importance of the fourier transform, it is important to step back a little and appreciate the power. We begin with the fourier series. This means that an arbitrary function on a given interval can be approximated as a sum of. Web a fourier series is an expansion of a periodic function f(x) in terms of an. Why Are Fourier Series Important.
From medium.com
Why Fourier Transform is so important? by Ankur Dhuriya Analytics Why Are Fourier Series Important Web fourier series, in mathematics, an infinite series used to solve special types of differential equations. Web to understand the importance of the fourier transform, it is important to step back a little and appreciate the power. We begin with the fourier series. Web a fourier series is an expansion of a periodic function f(x) in terms of an infinite. Why Are Fourier Series Important.
From www.youtube.com
What and Why Fourier Series YouTube Why Are Fourier Series Important It is analogous to a taylor. Web fourier series expression. We begin with the fourier series. Web to understand the importance of the fourier transform, it is important to step back a little and appreciate the power. Web a fourier series is an expansion of a periodic function f(x) in terms of an infinite sum of sines and cosines. Web. Why Are Fourier Series Important.